Площадь треугольника по трём сторонам - формула Герона

Треугольник - геометрическая фигура, образованная тремя отрезками, соединяющими три точки, которые не лежат на одной прямой. Такие отрезки называются сторонами треугольника, а точки - вершинами треугольника

Площадь треугольника - участок плоскости, ограниченный сторонами треугольника.

Площадь треугольника по формуле Герона Если в быту требуется найти площадь треугольника, как правило, наиболее простым измерением является нахождение длин трёх его сторон, а потом вычисление площади по формуле Герона.
Внимание, ни одна сторона треугольника не может быть больше суммы двух других!
Длины сторон задавать в одинаковых единицах, например только в мм, см и т.д.

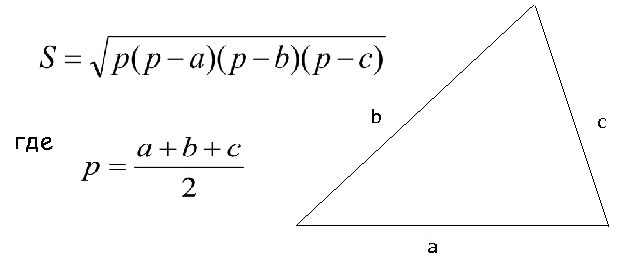
a - первая сторона треугольника: ,

b - вторая сторона треугольника: ,

с - третья сторона треугольника:

Половина периметра треугольника P:

Площадь треугольника S:

Площадь расчитывается в тех же единицах, в которых задавались длины сторон, например, если длины сторон задавались в мм, то результат будет в квадратных мм (мм2)



16.05.2023